Subscribe to our ▶️ YouTube channel 🔴 for the latest videos, updates, and tips.
Problem 1 :
(3x – 8)/2x = 1
Solution :
(3x – 8)/2x = 1
By doing on cross multiplication.
3x – 8 = 2x
3x – 2x = 8
x = 8
Problem 2 :
5x/(2x – 1) = 2
Solution :
5x/(2x – 1) = 2
By doing on cross multiplication.
5x = 2(2x – 1)
5x = 4x – 2
5x – 4x = 2
x = 2
Problem 3 :
(2x – 3)/(4x + 5) = 1/3
Solution :
(2x – 3)/(4x + 5) = 1/3
By doing on cross multiplication.
3(2x – 3) = 4x + 5
6x – 9 = 4x + 5
6x – 4x = 9 + 5
2x = 14
x = 14/2
x = 7
Problem 4 :
8/x = 5/(x – 1)
Solution :
8/x = 5/(x – 1)
By doing on cross multiplication.
8(x – 1) = 5x
8x – 8 = 5x
8x – 5x = 8
3x = 8
x = 8/3
Problem 5 :
[5(1 – x) + 3(1 + x)]/(1 – 2x) = 8
Solution :
[5(1 – x) + 3(1 + x)]/(1 – 2x) = 8
Multiplying by (1-2x) on both sides, we get
5(1 – x) + 3(1 + x) = 8(1 – 2x)
5 – 5x + 3 + 3x = 8 – 16x
By combining the like terms.
-5x + 3x + 16x = 8 – 5 – 3
14x = 0
x = 0
Problem 6 :
[y – (4 – 3y)] / [2y – (3 + 4y)] = 1/5
Solution :
[y – (4 – 3y)] / [2y – (3 + 4y)] = 1/5
By doing on cross multiplication.
5(y – (4 – 3y) = 2y – (3 + 4y)
5(y – 4 + 3y) = 2y – 3 - 4y
5y – 20 + 15y = 2y – 3 – 4y
By combining the like terms.
5y + 15y – 2y + 4y = 20 – 3
22y = 17
y = 17/22
Problem 7 :
(9 – 3y)/(1 – 9y) = 8/5
Solution :
(9 – 3y)/(1 – 9y) = 8/5
By doing on cross multiplication.
5(9 – 3y) = 8(1 – 9y)
45 – 15y = 8 – 72y
Subtract 45 and add 15y on both sides.
45 – 15y – 8 + 72y = 0
37 + 57y = 0
57y = -37
y = -37/57
Problem 8 :
(3x + 2)/(2x – 3) = -3/4
Solution :
(3x + 2)/(2x – 3) = -3/4
By doing on cross multiplication.
4(3x + 2) = -3(2x – 3)
12x + 8 = -6x + 9
By combining the like terms.
12x + 6x = 9 – 8
18x = 1
x = 1/18
Problem 9 :
(5x + 1)/(2x) = -1/3
Solution :
(5x + 1)/(2x) = -1/3
By doing on cross multiplication.
3(5x + 1) = -2x
15x + 3 = -2x
15x + 2x = -3
17x = -3
x = -3/17
Problem 10 :
(x + 1)/(2x + 7) = 3/8
Solution :
(x + 1)/(2x + 7) = 3/8
By doing on cross multiplication.
8(x + 1) = 3(2x + 7)
8x + 8 = 6x + 21
By combining the like terms.
8x – 6x = 21 - 8
2x = 13
x = 13/2
Problem 11 :
1/(x-1) + 2/(x+1) = 2
Solution :
1/(x-1) + 2/(x+1) = 2
Considering the denominators, they are not same. So, take least common multiple and make them same.
LCM = (x+1) (x-1)
[1/(x-1)] ∙ [(x+1)/(x+1)] + 2/(x+1) [(x-1)/(x-1)] = 2
[(x + 1)+2(x - 1)] / [(x - 1)(x + 1)] = 2
Multiplying (x-1) (x+1) on both sides.
(x + 1) + 2(x - 1) = 2(x - 1)(x + 1)
Using distributive property.
x + 1 + 2x – 2 = 2(x2 – 1)
By combining the like terms
3x – 1 = 2x2 – 2
Subtract 3x and add 1 on both sides.
2x2 – 3x – 2 + 1 = 0
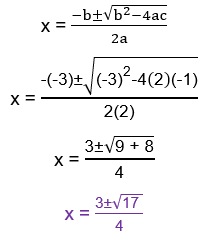
2x2 – 3x – 1 = 0
This quadratic equation is not factorable, using quadratic formula.

Problem 12 :
(50/x) + 4 = 14
Solution :
(50/x) + 4 = 14
By doing on cross multiplication with both sides.
(50 + 4x)/x = 14
50 + 4x = 14x
4x – 14x = -50
-10x = -50
x = 50/10
x = 5
Problem 13 :
you wrote the function c = (50m + 1000)/m, which represents the average cost c (in dollars) of making m models using a 3-D printer. Find how many models must be printed for the average cost per model to fall to $90 by
(a) solving an equation, and
(b) using the inverse of the function.
Solution :
a)
c = (50m + 1000)/m
Average cost = 90
90 = (50m + 1000)/m
90m = 50m + 1000
90m - 50m = 1000
40m = 1000
m = 1000/40
m = 25
b) To find inverse function, we have to define the function for m.
c = (50m + 1000)/m
c m = 50m + 1000
cm - 50m = 1000
m(c - 50) = 1000
m = 1000 / (c - 50)
Applying c = 90, we get
m = 1000 / (90 - 50)
m = 1000/40
m = 25
Problem 14 :
So far this baseball season, you have 12 hits out of 60 times at-bat. Solve the equation 0.360 = (12 + x) / (60 + x) to find the number of consecutive hits you need to raise your batting average to 0.360.
Solution :
0.360 = (12 + x) / (60 + x)
0.360(60 + x) = 12 + x
21.6 + 0.360x = 12 + x
21.6 - 12 = x - 0.360x
9.6 = 0.64x
x = 9.6/0.64
x = 15
So, the number of consecutive hits is 15.
Subscribe to our ▶️ YouTube channel 🔴 for the latest videos, updates, and tips.
May 21, 24 08:51 PM
May 21, 24 08:51 AM
May 20, 24 10:45 PM