Subscribe to our ▶️ YouTube channel 🔴 for the latest videos, updates, and tips.
Problem 6 :
Find the minimum value of the function
2015 - [10/(x2 -4x + 5)]
(A) 2000 (B) 2005 (c) 2010
(D) 2013 (E) None of these
Solution :
In any quadratic function which is in the form
y = a(x - h)2 + k
If a < 0, the function will have maximum at x = h and maximum value is k.
If a > 0, the function will have minimum at x = h and minimum is k.
x2 -4x + 5 ==> x2 - 2x(2) + 22 - 22 + 5
= (x - 2)2 - 4 + 5
= (x - 2)2 + 1
The curve x2 -4x + 5 achieves the minimum at x = 2 and minimum value is 1.
So, minimum value of the given function at x = 2.
= 2015 - [10/(22 -4(2) + 5)]
= 2015 - (10/1)
= 2005
Problem 7 :
It is known that 99900009 is the product of four consecutive odd of squares of these four odd numbers.
(A) 40000 (B) 40010 (c) 40020
(D) 40030 (E) 40040
Solution :
Let four consecutive off numbers be
x - 3, x - 1, x + 1 and x + 3
Product of four consecutive odd numbers = 99900009
(x - 3) (x - 1) (x + 1) (x + 3) = 99900009
(x2 - 32)(x2 - 12) = 99900009
(x2 - 9)(x2 - 1) = 99900009
Let x2 = y
(y - 9) (y - 1) = 99900009
y2 - 10y + 9 - 99900009 = 0
y2 - 10y - 99900000 = 0
(y - 9990)(y - 10000) = 0
y = 9990 and y = 10000
x2 = 9990 and x2 = 10000
x = 100
So, the required odd numbers are 97, 99, 101, 103.
= 972 + 992 + 1012 + 1032
= 9409 + 9801 + 10201 + 10609
= 40020
Problem 8 :
The lengths of the sides of the triangle are
x2, 22 - x and x - 2
The total number of possible integer value of x is.
(A) 0 (B) 1 (C) 2 (D) 3 (E) 4
Solution :
Let a = x2, b = 22 - x and c = x - 2
If a, b and are the sides of the triangle, then
a + b > c, b + c > a, c + a > b
|
x2 + 22 - x > x - 2 x2 + 22 - x - x + 2 > 0 x2 - 2x + 24 > 0 Not possible |
22 - x + x - 2 > x2 20 > x2 |
x - 2 + x2 > 22 - x
x + x - 2 - 22 + x2 >0
x2 + 2x - 24 > 0
(x + 6)(x - 4) > 0
x > -6 and x > 4
x2 > 42 and 20 > x2
No values of x (integer) will not satisfy this condition. So, 0 is the answer.
Problem 9 :
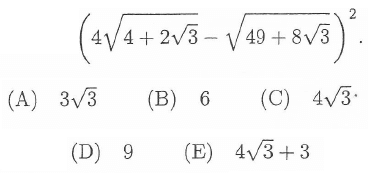
Find the value of

Solution :
(1) - (2)
= (4√3 + 4 - 4√3 - 1)2
= 32
So, the answer is 9.
Problem 10 :
If x and y satisfy the equation 2x2 + 3y2 = 4x, the maximum value of 10x + 6y2 is
(A) 2 (B) 9/2 (C) 20 (D) 81/4 (E) None
Solution :
From 2x2 + 3y2 = 4x
3y2 = 4x - 2x2
3y2 = 2x(2 - x)
range is 0 ≤ x ≤ 2
Multiplying by 2.
6y2 = 8x - 4x2
10x + 6y2 = 10x + 8x - 4x2
= 18x - 4x2 ----(1)
To find the maximum value, converting into the form
y = a(x - h)2 + k
= -4x2 + 18x
Maximum at x = 2, to find maximum value
By applying x = 2 in (1), we get
= 18(2) - 4(2)2
= 36 - 16
= 20
So, the maximum value is 20.
Subscribe to our ▶️ YouTube channel 🔴 for the latest videos, updates, and tips.
May 21, 24 08:51 PM
May 21, 24 08:51 AM
May 20, 24 10:45 PM